•
퍼셉트론: 다층 퍼셉트론으로 복잡한 함수 또는 기능 구현 가능. 그러나, 가중치를 설정하는 작업은 사람에 의해 수행됨
•
신경망(Neural Networks): 퍼셉트론에 활성화 함수(3장), 손실 함수(4장), 역전파(5장)의 개념이 추가되어 진정한 기계학습의 개념이 구현됨
3.1.1 신경망의 예
•
입력층(Input layer) : 입력을 받는 층
•
은닉층(Hidden layer) : 계산이 일어나는 층으로, 입력층과 출력층 사이에 존재
◦
입력층, 출력층과 다르게 사용자가 볼 수 없음(black-box)
•
출력층(Output layer) : 결과를 출력하는 층
3.1.2 퍼셉트론 복습
입력 신호의 총합이 라는 함수를 거쳐 변환되어, 변환된 값이 의 출력이 됨을 보여줌. 함수는 입력이 0을 넘으면 1을 돌려주고 그렇지 않으면 0을 돌려줌. 결과적으로 위의 식과 동일
⇒ 겹치는 부분이니까 빼도 좋을 듯
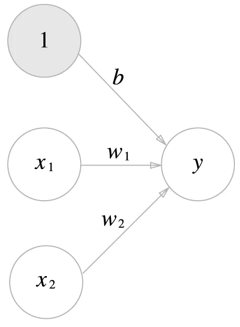
편향을 명시한 퍼셉트론
(뉴런 추가 : 가중치 b, 입력 1)
b : 편향을 나타내는 매개 변수 (뉴런 활성화 제어)
w_1, w_2 : 각 신호의 가중치 (신호 영향력 제어)
3.1.3 활성화 함수의 등장
•
활성화 함수(Activation function) : 입력 신호의 총합을 출력 신호로 변환하는 함수
◦
입력 신호의 총합이 활성화를 일으키는 지를 정하는 역할
◦
입력값의 총합(가중치와 입력의 합)을 받아 뉴런의 출력값 결정
활성화 함수의 처리 과정
•
를 함수 에 넣어 출력
•
: 가중치가 적용된 입력 신호와 편향의 총합
가중치 신호를 조합한 결과가 라는 노드가 되고, 활성화 함수 를 통과해 라는 노드로 변환
뉴런 = 노드
왼쪽은 일반적인 뉴런, 오른쪽은 활성화 처리 과정을 명시한 뉴런
3.2 활성화 함수
계단 함수(Step function) : 임계값을 경계로 출력이 바뀌는 함수
•
퍼셉트론에서는 활성화 함수로 계단 함수를 이용
3.2.1 시그모이드 함수
시그모이드 함수(Sigmoid function)
•
S자형 곡선 또는 시그모이드 곡선을 갖는 함수
◦
시그모이드(Sigmoid) : 그리스 문자 ‘sigma’의 S와 같은 모양 → sigma(ς) + -oid(~같은)
•
입력값을 0과 1 사이의 값으로 변환
◦
입력값이 0일 때 0.5 반환
•
: 를 뜻하며 는 자연 상수로 2.7182와 같은 값을 갖는 실수.
시그모이드 함수에 만약 1.0과 2.0 입력하면 과 같은 특정 값 출력
3.2.2 계단 함수 구현하기
•
입력이 0을 넘으면 1 출력 넘지 않으면 0 출력
def step_fuction(x):
if x > 0:
return 1
else:
return 0
Python
복사
step_function(2.0) # 1
Python
복사
•
Numpy 배열을 인수로 넣을 수 있도록 코드 수정
def step_function(x):
y = x > 0
return y.astype(np.int)
Python
복사
step_function(np.array([1.0, 2.0])) # array([1, 1])
step_function(np.array([2.0])) # array([1])
step_function(2.0) # 오류 : astype -> astype은 Numpy 배열의 데이터 타입을 변경하는 메서드이기 때문
Python
복사
구현 과정 상세
3.2.3 계단 함수의 그래프
def step_function(x):
return np.array(x > 0, dtype=np.int)
Python
복사
# 시각화
x = np.arange(-5, 5.0, 0.1) # -5.0 ~ 5.0 전까지 0.1 간격의 Numpy array 생성 [-5.0, -4.9 ... 4.9]
y = step_function(x)
plt.plot(x, y)
plt.ylim(-0.1, 1.1) # y축 범위 지정
plt.show()
Python
복사
3.2.4 시그모이드 함수 구현하기
def sigmoid(x):
return 1 / (1 + np.exp(-x))
Python
복사
x = np.array([-1.0, 1.0, 2.0])
sigmoid(x)
# 브로드캐스트 기능 덕분에 가능
Python
복사
Broadcast
x = np.arange(-5.0, 5.0, 0.1)
y = sigmoid(x)
plt.plot(x,y)
plt.ylim(-0.1, 1.1) # y축 범위 지정
plt.show()
Python
복사
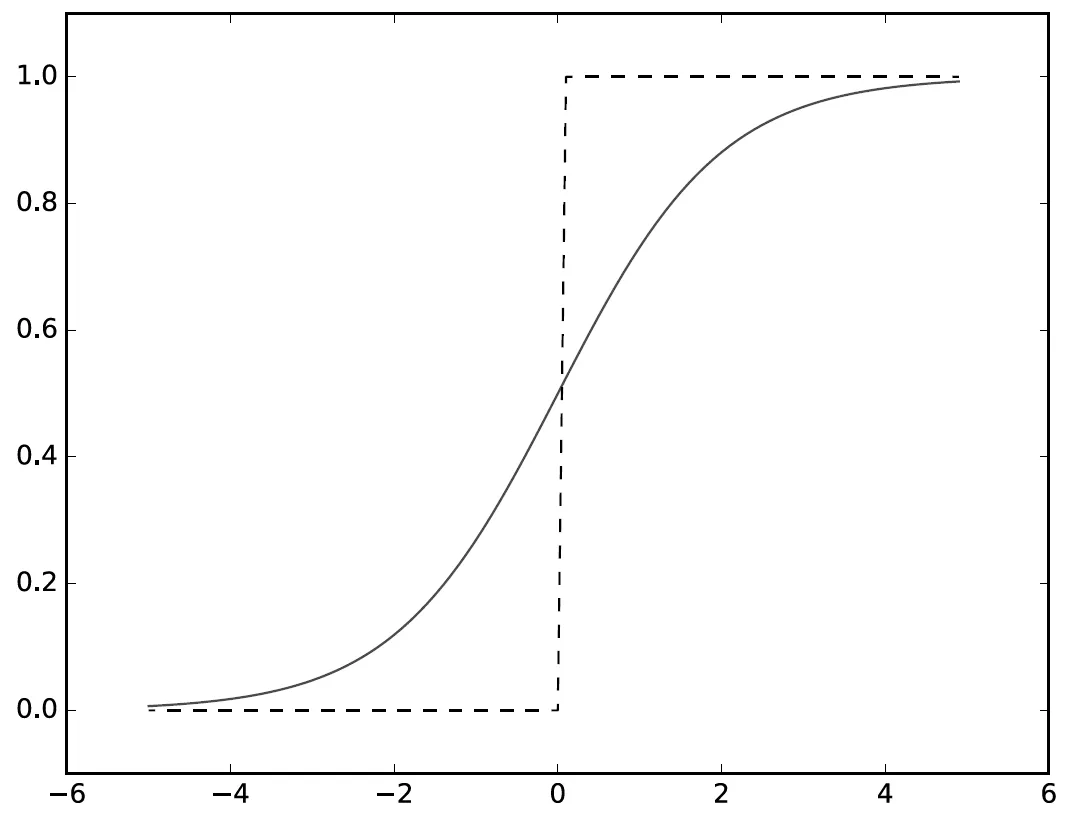
3.2.5 시그모이드 함수와 계단 함수 비교
•
계단 함수는 0과 1 중 하나의 값을, 시그모이드 함수는 실수(0.731…, 0.880… 등)를 출력
◦
퍼셉트론에서는 0 또는 1의 값이, 신경망에서는 연속적인 실수가 흐름
•
두 함수 모두 입력이 중요하면 큰 값을, 중요하지 않으면 작은 값을 출력
◦
입력이 크면 1 또는 1에 가까운 값을, 입력이 작으면 0 또는 0에 가까운 값 출력(0~1의 범위)
3.2.6 비선형 함수
비선형 함수: ‘선형이 아닌’ 함수 (직선 1개로 그릴 수 없는 함수)
•
선형 함수는 출력이 입력의 상수배만큼 변하며 직선에 해당 는 상수)
신경망에서 비선형 함수를 사용해야 하는 이유? → 선형 함수를 이용하면 신경망의 층의 의미가 없음
3.2.7 RELU 함수
ReLU(Rectified Linear Unit)
•
입력이 0을 넘으면 그 입력을 그대로 출력하고, 0 이하이면 0을 출력하는 함수
•
Rectify : 정류하다 → 교류(전파)를 직류로 바꾸다
def relu(x):
return np.maximum(0, x)
Python
복사
relu(3) # 3
relu(0) # 0
relu(-1) # 0
Python
복사
3.3 다차원 배열의 계산
3.3.1 다차원 배열
다차원 배열 : ‘숫자의 집합’을 N차원으로 나열하는 것
A = np.array([1, 2, 3, 4])
B = np.array([[1,2], [3,4], [5,6]])
print(A)
print(B)
# 출력
[1 2 3 4]
[[1 2]
[3 4]
[5 6]]
Python
복사
# 배열 차원 확인
np.ndim(A)) # 1
np.ndim(B)) # 2
# 배열 형태 확인 -> 튜플(차원 크기 변경을 방지하고 통일된 형태의 결과를 반환하기 위해)
A.shape # (4,)
A.shape[0] # 4
B.shape # (3, 2) -> 2차원 배열(3*2)
B.shape[0] # 3
Python
복사
•
행렬(matrix) : 2차원 배열
◦
가로(row) : 행
◦
세로(column) : 열(차원)
3.3.2 행렬의 곱
•
왼쪽 행렬의 행과 오른쪽 행렬의 열을 원소 별로 곱함
◦
두 행렬(A, B)를 곱할 때 A의 행의 수와 B행의 열의 수가 일치해야 함
"""
행렬 곱하기(두 행렬의 크기 일치, 대응 차원 일치)
"""
A = np.array([[1,2], [3,4]])
B = np.array([[5,6], [7,8]])
np.dot(A, B)
# 출력
array([[19, 22],
[43, 50]])
Python
복사
"""
행렬 곱하기(두 행렬의 크기 일, 대응 차원 불일치)
"""
A = np.array([[1,2,3], [4,5,6]])
B = np.array([[1,2], [3,4], [5,6]])
np.dot(A, B)
# 출력
array([[22, 28],
[49, 64]])
Python
복사
"""
행렬 곱하기(두 행렬의 크기 불일치, 대응 차원 불일치)
"""
A = np.array([[1,2,3], [4,5,6]])
C = np.array([[1,2], [3,4]])
# 출력 - 오류 발생
np.dot(A, C)
Python
복사
"""
행렬 곱하기(1차원과 2차원)
"""
A = np.array([[1,2], [3,4],[5,6]])
B = np.array([7,8])
np.dot(A,B)
# 출력
array([23, 53, 83])
Python
복사
3.3.3 신경망에서의 행렬 곱
•
Numpy 행렬을 사용해 신경망 구현
X = np.array([1,2])
W = np.array([[1,3,5], [2,4,6]])
Y = np.dot(X, W)
print(Y)
# 출력
[ 5 11 17]
Python
복사
3.4 3층 신경망 구현하기
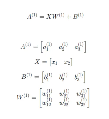
3.4.1 표기법 설명
key point
: 신경망에서의 계산을 행렬 계산으로 정리할 수 있다.
→ 신경망 각 층의 계산은 행렬의 곱으로 처리함
3.4.2 각 층의 신호 전달 구현하기
<1층의 첫 번째 뉴런으로 가는 신호>
인공신경망의 작동 방식을 스칼라나 행렬을 통해 표현할 수 있다고 한다.
◦
스칼라 표현
◦
행렬 표현
만약에 w1~w100까지 1개의 층에 가중치가 100개가 있다고 가정해보자.
우리가 스칼라를 통해 이를 구현하려면 for 문을 통해 각 가중치를 입력 값에 적용하고,
결과를 누적하여 계산하는 방식으로 사용해야 할 것이다.
result = 0
for i in range(100):
result += weights[i] * input_values[i]
Python
복사
하지만, numpy 라이브러리를 사용하면, 코드가 훨씬 간결해지고 최적화된 행렬 연산을 통해 빠르게 실행된다고 한다.
import numpy as np
#weights = np.array(weights)
#input_values = np.array(input_values)
result = np.dot(weights, input_values)
Python
복사
<코드 구현해보기>
import numpy as np
#0층 -> 1층
X = np.array([1.0,0.5])
W1 = np.array([[0.1,0.3,0.5], [0.2,0.4,0.6]])
B1 = np.array([0.1,0.2,0.3])
A1 = np.dot(X,W1) + B1
Z1 = sigmoid(A1)
#def Sigmoid(x):
#return 1 / (1+np.exp(-x))
Python
복사
#1층 -> 2층
W2 = np.array([[0.1,0.4], [0.2,0.5], [0.3,0.6]])
B2 = np.array([0.1, 0.2])
A2 = np.dot(Z1,W2) + B2
Z2 = sigmoid(A2)
Python
복사
W3 = np.array([[0.1,0.3],[0.2,0.4]])
B3 = np.arrray[0.1,0.2])
A3 = np.dot(Z2,W3) + B3
Y= A3
#def identity_function(x):
#return x
#Y = identity_function(A3)
Python
복사
3.4.3 구현 정리
import numpy as np
def sigmoid(x):
return 1 / (1 + np.exp(-x))
#def identity_function(x):
#return x
#network를 하나의 딕셔너리로 저장하기 -> 가중치와 편향 초기화
def init_network():
network ={}
network['W1'] = np.array([[0.1, 0.3, 0.5],[0.2,0.4,0.6]])
network['b1'] = np.array([0.1,0.2,0.3])
network['W2'] = np.array([[0.1, 0.4],[0.2,0.5],[0.3,0.6]])
network['b2'] = np.array([0.1,0.2])
network['W3'] = np.array([[0.1, 0.3],[0.2,0.4]])
network['b3'] = np.array([0.1,0.2])
return network
#각 layer로 신호 전달하는 함수
def forward(network , x):
W1,W2,W3 = network['W1'], network['W2'], network['W3']
b1,b2,b3 = network['b1'], network['b2'], network['b3']
a1 = np.dot(x,W1) + b1
z1 = sigmoid(a1)
a2= np.dot(z1,W2) + b2
z2 = sigmoid(a2)
a3 = np.dot(z2,W3) + b3
# y = identity_function(a3)
#return y
return a3
network = init_network()
x = np.array([1.0,0.5])
y = forward(network,x)
print(y)
JavaScript
복사
3.5 출력층 설계하기
기계학습 문제: 분류(classification)와 회귀(regression)
•
분류: 데이터가 속한 클래스(class)를 예측하는 문제이며, 분류 모델의 출력 결과는 범주형 값
•
회귀: 데이터에 대한 수치를 예측하는 문제이며, 회귀 모델의 출력 결과는 연속형 값
•
활성화 함수의 사용: 일반적으로 분류에서는 소프트맥스(softmax), 회귀에서는 항등 함수를 활성화 함수로 사용
실습파일:
3.5.1 항등함수와 소프트맥스 함수 구현하기
항등 함수와 소프트맥스 함수 구현하기
•
항등 행렬(identity matrix): 또는 를 만족하는 행렬 를 행렬 의 항등 행렬이라고 정의하며 모든 대각선 원소 값이 1이며 그 외의 원소 값은 0
◦
예:
•
항등 함수(identity function): 모든 원소를 자기 자신으로 대응시키는 함수이며, 정의역과 공역이 같음
◦
집합 이 주어졌을 때, 이에 대한 항등 함수는 으로 정의되며, 원소 에 대해 를 만족
•
활성화 함수가 항등 함수일 경우: 입력 신호 = 출력 신호
항등 함수
•
소프트맥스 함수(softmax function): 여러 개의 뉴런을 갖는 출력층에 적용되어 확률 값으로 변환하므로(모든 출력 값의 합 = 1) 다중 분류(multiclass classification)에 적합한 활성화 함수
◦
: Euler number ()의 지수 함수 ()
지수 함수 . 함수 값의 범위는 (0, ) 이다.
◦
: 출력층의 뉴런 수
◦
: 번째 출력 값
◦
: 번째 입력 신호
◦
소프트맥스 함수의 분자는 입력 신호 의 지수 함수 값( )이며, 분모는 모든 입력 신호의 지수 함수 값의 합을 나타냄
◦
그러므로, 을 만족
소프트맥스 함수. 수식에 따라 각 출력은 모든 입력 신호와 연결된다.
•
소프트맥스에 가 사용되는 이유
1.
모든 입력에 대해 양수 값을 출력 → 음수 및 zero division 방지 (어떠한 입력이 들어와도 안전하게 확률 값을 계산할 수 있음)
2.
큰 값은 더 크게(중요도 ), 작은 값은 더 작게(중요도 ) 변환함
◦
예: 입력 신호 [0.3, 2.9, 4.0] 의 비중 = [0.042, 0.403, 0.556]
→ 소프트맥스 출력 값 = [0.018, 0.245, 0.737]
◦
단조 함수(monotonic function) 이므로 신호의 대소 관계는 변하지 않음
3.5.2 소프트맥스 함수 구현 시 주의점
◦
소프트맥스 함수: 지수항을 포함하므로, 입력 신호 값에 따라 값이 지수적으로 증가
▪
오버플로우(overflow) 문제: 데이터 타입의 값 범위를 넘어가는 경우가 발생
>>> np.exp(100)
2.6881171418161356e+43
>>> np.exp(1000)
inf
Python
복사
지수 함수의 오버플로우 문제
◦
오버플로우 문제 솔루션: 상수()를 이용한 트릭
▪
수식의 의미: 소프트맥스의 지수 함수를 계산할 때, 임의의 상수 를 더하거나 빼도 결과는 동일
def softmax(a):
c = np.max(a)
exp_a = np.exp(a-c) # a에 최대값을 빼서 오버플로우 방지
sum_exp_a = np.sum(exp_a)
y = exp_a / sum_exp_a
return y
JavaScript
복사
오버플로우를 방지하는 소프트맥스 함수 정의
3.5.3 소프트맥스 함수의 특징
◦
입력 신호에 대응되는 확률 값을 출력
◦
단조 함수이므로 값의 대소 관계가 바뀌지 않음
◦
기계학습 단계: 학습(모델 훈련) → 추론(모델 활용)
▪
학습 단계에서 소프트맥스 함수는 출력층의 예측 값을 확률 값으로 변환하며, 이는 확률 값을 기반으로 오차를 계산하는 크로스 엔트로피(cross entropy, 4장)와 결합되어 오차 역전파 과정으로 이어진다.
▪
반면에, 추론 단계에서 소프트맥스 함수는 불필요하므로(대소 관계 변경 X), 지수 계산에 드는 계산 비용을 방지하기 위해 생략되는 것이 일반적이다.
3.5.4 출력층의 뉴런 수 정하기
◦
출력층의 뉴런 수: 기계학습 문제에 맞게 결정 (예: 분류하고자 하는 클래스 수로 설정)
예: 다중 회귀(multiple regression)를 이용한 전력 및 에너지 소비 예측 문제 (Liu 2023, Processes)
예: 숫자 필기(0-9) 분류 문제 (kaggle.com)
3.6 손글씨 숫자 인식
3.6.1 MNIST 데이터셋
•
MNIST (Mixed National Institute of Standards and Technology)
•
0부터 9까지의 손글씨 숫자 이미지 집합
•
훈련 이미지 60,000장, 시험 이미지 10,000장
•
훈련 이미지를 사용해 학습한 모델로 시험 이미지를 얼마나 정확하게 분류하는지 평가
•
28 * 28 크기의 회색조 이미지(channel=1), 각 픽셀은 0~255(픽셀의 밝기 값)의 값을 취함
•
각 이미지에 레이블 존재(‘7’, ‘2’, ‘1’)
•
라이브러리 및 데이터 불러오기
◦
common파일은 mnist 소스 코드 하단에 배치해야 함
import sys, os
sys.path.append(os.pardir)
import numpy as np
import pickle
from dataset.mnist import load_mnist
from common.functions import sigmoid, softmax
(x_train, t_train), (x_test, t_test) = load_mnist(flatten=True, normalize=False)
Python
복사
•
mnist 이미지 출력
from PIL import Image
def img_show(img):
pil_img = Image.fromarray(np.uint8(img))
pil_img.show()
(x_train, t_train), (x_test, t_test) = load_mnist(flatten=True, normalize=False)
img = x_train[0]
label = t_train[0]
img = img.reshape(28, 28) # 1차원 배열 이미지를 numpy array로 변환
img_show(img)
Python
복사
3.6.2 신경망의 추론 처리
•
입력층 뉴런 784개(28*28), 출력층 뉴런 10개(숫자 0~9)
•
은닉층 2개 (첫 번째 은닉층: 50개 뉴런, 두 번째 은닉층: 100개의 뉴런) → 뉴런 수 임의 설정
def get_data():
(x_train, t_train), (x_test, t_test) = load_mnist(normalize=True, flatten=True, one_hot_label=False)
return x_test, t_test
def init_network():
with open("sample_weight.pkl", 'rb') as f:
network = pickle.load(f)
return network
def predict(network, x):
W1, W2, W3 = network['W1'], network['W2'], network['W3']
b1, b2, b3 = network['b1'], network['b2'], network['b3']
a1 = np.dot(x, W1) + b1
z1 = sigmoid(a1)
a2 = np.dot(z1, W2) + b2
z2 = sigmoid(a2)
a3 = np.dot(z2, W3) + b3
y = softmax(a3)
return y
Python
복사
•
정확도 평가
x, t = get_data()
network = init_network()
accuracy_cnt = 0
for i in range(len(x)):
y = predict(network, x[i])
p = np.argmax(y) # 확률이 가장 높은 원소의 인덱스를 얻음
if p == t[i]:
accuracy_cnt += 1
print("Accuracy:" + str(float(accuracy_cnt) / len(x)))
Python
복사
3.6.3 배치 처리
•
Batch Processing
: 데이터를 실시간이 아닌 일괄적으로 모아서 처리하는 작업
( Batch : 집단, 무리 한 회분, 일괄적인 처리를 위해 함께 묶다)
◦
일괄 작업 시스템(batch job system) 또는 일괄 처리 시스템(batch processing system)이라고 부름
◦
배치 처리 작업 중에 사용자와 상호작용이 불가능
◦
장점 : 성능 향상(병렬 처리), 메모리 효율성(배치 단위로 메모리에 올려 사용), 일반화 성능 향상(통계적 특정 반영) 등
◦
단점 : 작업 중간 결과 확인 불가, 메모리 요구량 증가(배치 크기가 클 때), 병렬화 문제(데이터 의존성 등), 배치 크기 수동 설정 등
•
epoch: 전체 데이터셋에 대해 한 번 학습을 완료한 상태(1 epoch)
•
mini batch: 배치 처리 한 단계에 사용하는 작은 데이터 묶음
•
batch size: 하나의 mini batch에 넘겨주는 데이터 개수
•
iteration: 1 epoch을 마치는 데에 필요한 mini batch의 개수
•
배치 처리 구현
x, t = get_data()
network = init_network()
batch_size = 100 # 배치 크기
accuracy_cnt = 0
for i in range(0, len(x), batch_size):
x_batch = x[i:i+batch_size]
y_batch = predict(network, x_batch)
p = np.argmax(y_batch, axis=1)
accuracy_cnt += np.sum(p == t[i:i+batch_size])
print("Accuracy:" + str(float(accuracy_cnt) / len(x)))
Python
복사
3.7 정리
•
신경망에서는 활성화 함수로 시그모이드 함수와 ReLU 함수 같은 매끄럽게 변화하는 함수를 이용한다.
•
넘파이의 다차원 배열을 잘 사용하면 신경망을 효율적으로 구현할 수 있다.
•
기계학습 문제는 크게 회귀와 분류로 나눌 수 있다.
•
출력층의 활성화 함수로는 회귀에서는 주로 항등 함수를, 분류에서는 주로 소프트맥스 함수를 이용한다.
•
분류에서는 출력층의 뉴런 수를 분류하려는 클래스 수와 같게 설정한다.
•
입력 데이터를 묶은 것을 배치라 하며, 추론 처리를 이 배치 단위로 진행하면 결과를 훨씬 빠르게 얻을 수 있다.






























